The document titled 'AP Physics C: Mechanics 2023 Scoring Guidelines' is a comprehensive resource published by the College Board. It provides detailed scoring guidelines for the free-response questions in the AP Physics C: Mechanics exam. The guidelines outline the criteria for scoring responses, including the necessary components for achieving full points on various questions. Key topics covered include the application of forces, conservation of energy, and the analysis of motion, with specific examples illustrating how to draw and label forces, calculate work, and apply conservation laws. The document is structured to assist educators and students in understanding the expectations for scoring, making it an essential tool for exam preparation. It is designed for teachers, students, and anyone involved in AP Physics education, ensuring clarity in the assessment process.
/ 18

AP
®
Physics C:
Mechanics
Scoring Guidelines
Set 1
2023
© 2023 College Board. College Board, Advanced Placement, AP, AP Central, and the acorn logo are registered
trademarks of College Board. Visit College Board on the web: collegeboard.org.
AP Central is the official online home for the AP Program: apcentral.collegeboard.org.

AP® Physics C: Mechanics 2023 Scoring Guidelines
© 2023 College Board
Question 1: Free-Response Question 15 points
(a)
For correctly drawing and labeling the force of gravity and the normal force on both dots
1 point
For drawing and labeling the spring force to the left on both dots, where the force for
Spring Q (Trial 2) is twice as long as the force for Spring P (Trial 1)
1 point
Example Solution
Scoring Note:
Examples of appropriate labels for the force due to gravity include:
G
F
,
g
F
,
grav
F
,
W
,
mg
,
Mg
, “grav force”, “F Earth on block”, “F on block by Earth”,
Earth on block
F
,
E,Block
F
. The labels
G
and
g
are not appropriate labels for the force due to gravity.
n
F
,
N
F
,
N
, “normal force”, “ground force”, or similar labels may be used for the
normal force.
Scoring Note: A response that includes extraneous vectors can earn a maximum of 1 point.
Total for part (a)
2 points
(b)(i)
For a statement that the work is equal to the area under the curve
1 point
(b)(ii)
For stating the spring compression will be greater than
0.040 m
with an attempt at a relevant
justification
1 point
For a justification that indicates that the heights are equal when the area between each
function and the horizontal axis
are equal, which happens after x = 0.040 m
Scoring Note: While a mathematical solution is not required to earn credit for this point,
students may reference a mathematical solution.
1 point
Example Solution
The work don
e by each spring is equal to the area under their respective curves. This work is
converted to the change in potential energy and therefore relates to the maximum height
reached by the block. At
0.040 mx =
, the area under the curve for Spring Q is greater than
that of Spring P.
Therefore, it is not until a compression greater than
0.040 mx =
that the
areas under the two curves are
equal, have the same work, and convert to the same
maximum height.

AP® Physics C: Mechanics 2023 Scoring Guidelines
© 2023 College Board
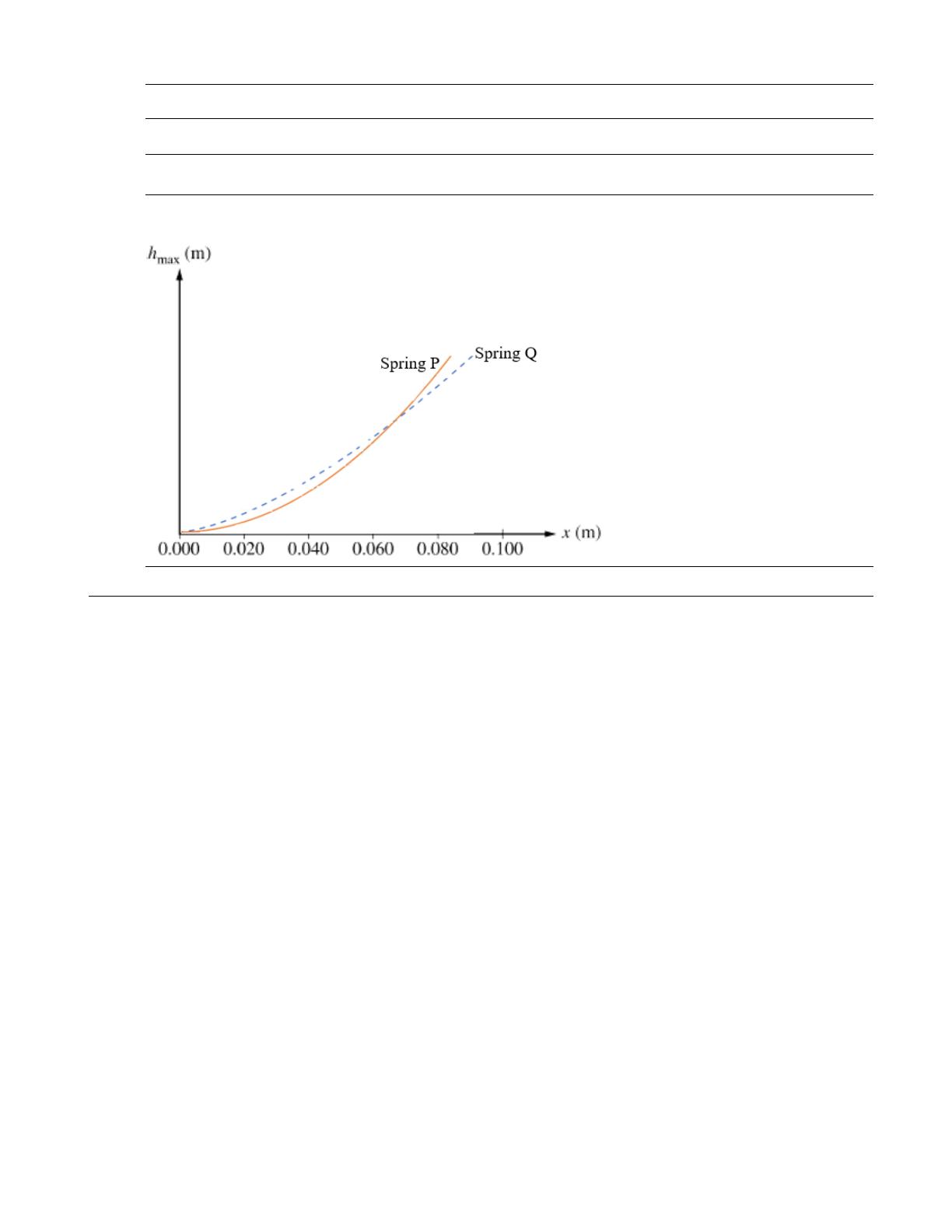
(b)(iii)
For drawing smooth concave upward curves for both springs P and Q
1 point
For showing that the curves intersect after
0.05 mx =
, but before
0.10 mx =
1 point
For showing the curve for Spring P below Spring Q before an intersection and the curve for
Spring P above Spring Q after this intersection
1 point
Example Solution
Total for part (b)
6 points
Loading document...
/ 18
Upload to Download
Every 3 documents you upload earns 1 download credit.
You have uploaded 0 documents. Upload 3 more to earn a download.
Upload Documents
End of Document
284
Report this document
Why are you reporting this content?
Embed document
* The code will be updated based on your changes.
Upload to Print
Every 3 documents you upload earns 1 print/download credit.
You have uploaded 0 documents. Upload 3 more to earn a credit.
Upload Documents