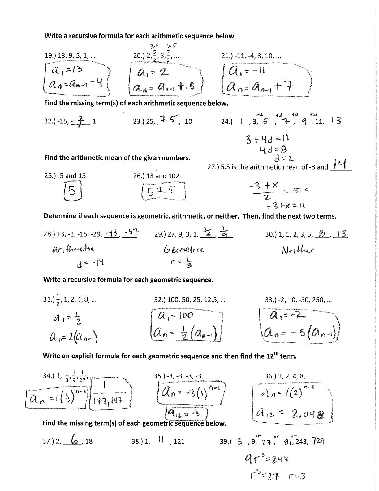
This document is the answer key for Unit 6 Math Homework 1, providing solutions to various mathematical sequences and geometric problems. It includes recursive and explicit formulas, arithmetic means, and geometric means, structured as a comprehensive worksheet for students. Ideal for educators and students seeking to verify their answers.
/ 4



Loading document...
/ 4
Upload to Download
Every 3 documents you upload earns 1 download credit.
You have uploaded 0 documents. Upload 3 more to earn a download.
Upload Documents
End of Document
276
Report this document
Why are you reporting this content?
Embed document
* The code will be updated based on your changes.
Upload to Print
Every 3 documents you upload earns 1 print/download credit.
You have uploaded 0 documents. Upload 3 more to earn a credit.
Upload Documents